فروض ثانية باك علوم الرياضيةملخصات

فرض محروس رقم 1 في مادة الرياضيات مستوى السنة الثانية باكالوريا الدورة الثانية

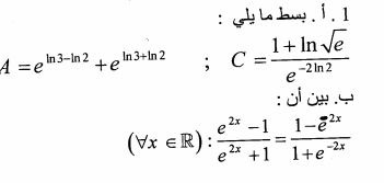
تجميعية فروض مادة الرياضيات السنة الثانية باكالوريا علوم الرياضية

فرض محروس رقم 1 في مادة الرياضيات  مستوى السنة الثانية باكالوريا الدورة الثانية






Pour télécharger                                   لتحميل الملف

مواضيع مشابهة

Back to top button